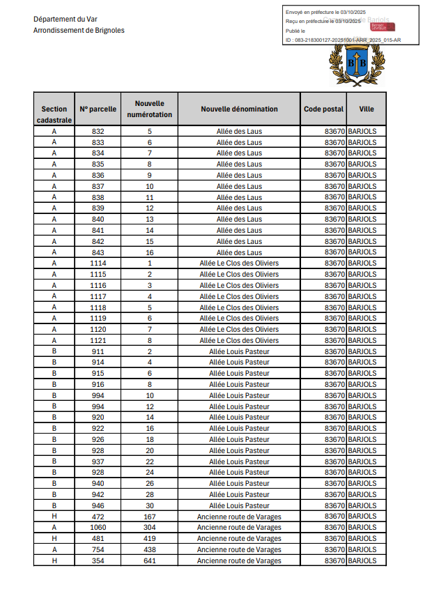
Arrêté de numérotation

Pour lire la liste complète, cliquez sur le document ci-dessous :